Chapter 5 – Quadratic Equations and Functions
Most of the topics in this chapter are covered in this sectionof videos on KhanAcademy.org. Some of his methods are not the same as we had learned in class , but will work just the same. If you are struggling, please watch these videos and do the practice problems he has for this section.

5-1 Modeling Data with Quadratic Functions

  • Identify quadratic functions
  • Find vertexes, lines of symmetry
  • Write a quadratic function in standard form

5-2 Properties of Parabolas

  • Graph all quadratic functions
    • Use symmetry and find the vertex
    • If all else fails, make a table of values
    • Find minimums and maximums of quadratic functions
  • Watch this instructional video here

5-3 Translating Parabolas

  • Graph quadratic functions in vertex form
    • Find the vertex and graph that first
    • Choose x-values equidistant from the vertex
  • Write the equation of a parabola in vertex form
  • Convert a parabola from standard form to vertex form
  • Watch this instructional video here

5-4 Factoring Quadratic Equations

  • Factor out GCFs first
  • Factor trinomials of the form x2 + bx + c
  • Factor trinomials of the form ax2 + bx + c
  • Factor special cases
    • Difference of Perfect Squares
    • Perfect Square Trinomials

5-5 Quadratic Equations

  • Put a quadratic equation into standard form: ax2 + bx + c = 0
  • Solve by factoring and using the Zero product Property
  • Solve by finding square roots
    • Watch this video on solving by taking square roots.
  • Solve by graphing (calculator)

5-6 Complex Numbers

  • Identify Imaginary Numbers
  • Find i and powers of i
  • Simplify square roots using i
  • Find absolute value of a complex number
  • Find the additive inverse of a complex number
  • Add, Subtract and Multiply complex numbers
  • Find complex solutions
  • Check out this lesson from RegentsPrep, it is very informative and has a lot of good notes if you need them
  • Entire lesson in video form available on khan academy

5-7 Completing the Square

  • Identify and factor a perfect square trinomial
  • Solve a perfect square trinomial
  • Find missing numbers in Perfect Square Trinomials
  • Complete the square to solve
  • Complete the square to put a function in vertex form

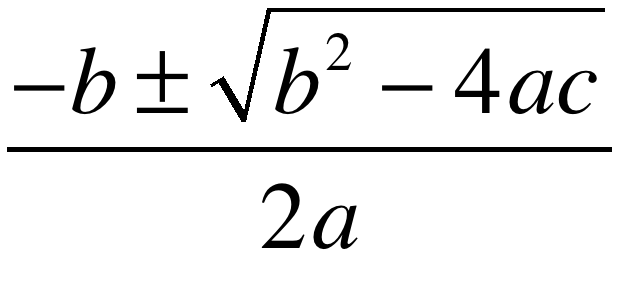
5-8 The Quadratic Formula

  • Memorize the Quadratic Formulaexternal image 58_solve1.png
    Use the quadratic formula to find solutions to a quadratic equation
  • Simplify an answer from the quadratic equation
  • Find the discriminant and evaluate what type of solution you will have

Homework

  • p237 2-20 even
  • p244 2-30 even, 37-39
  • p251 1-15 odd, 21-35 odd, 42
  • Practice Worksheet 5-4 (Turn In)
  • p266 1-19
  • p274 1-45 odd
  • p281 1-27
  • p289 1-39 odd